This TechLetter will focus on WATTALPS battery thermal modeling and the explanation of WATTALPS patented cooling architecture advantage. To illustrate this, we will show simulation results on a sportscar application, for which cell thermal stress can be compared to a battery charge of 80% in less than 20 minutes
Thermal management of batteries is necessary for demanding applications
As explained in our TechLetter on Thermal Management of batteries, lithium-ion battery performance and life are widely influenced by cell temperature. Applications requiring fast charge and/or high power and/or working in extreme temperatures need to be equipped with an efficient battery thermal management system.
Since the performance of the whole battery pack is limited by the least performing cell, the battery thermal management system has to ensure a very homogeneous cell temperature in the whole battery, so as to ensure homogeneous aging and constant performance.
Case study
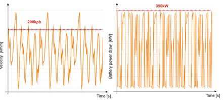
The application selected for this high thermal stress corresponds to a sportscar being driven on a race circuit with an average speed around 140 km/h on a single lap. For the li-ion cells, this is approximately the same thermal stress as charging the battery from 0 to 80% in less than 20 minutes. The vehicle speed and power are shown in the following graphs.
The battery pack used for this simulation is composed of 42 x WATTALPS High Energy modules, a pump and a fluid to air heat exchanger. The battery pack temperature and the ambient temperature are set at 20°C at simulation start. The patented hydraulic architecture of WATTALPS’ batteries enables each modules to be connected in parallel in the hydraulic circuit of the pack. Furthermore, each cell cooling flow is connected in parallel inside each module.

Model definition and parameters
The tools used for the modeling and simulations are:
-
- MAGNA KULI for 1D simulation of full battery system and vehicle.
- MAGMASOFT for CFD thermo-fluidics modeling inside 1 battery module
The following steps have been used to progressively refine the model and optimize the system:
-
- Initial System Studies in KULI: simplifications and assumptions to allow comparison of overall design variants and component selection
- 3D Simulation by MAGMASOFT: enables details on flow distribution and heat transfer coefficients based on 3D design inside one battery module.
- Refinement of KULI simulation model with data from MAGMASOFT simulations: to simulate complete operation cycles with a high level of details.
The parameters used in the simulations are derived from characterization tests done by WATTALPS and/or its suppliers.
Simulation results
The step 1 of the simulation process has run with a simplified hydraulic circuit model assuming an ideal flow sharing inside the module. It has led to interesting first results with a battery temperature remaining below 40°C and a maximum temperature difference between cells of 0,4°C in the whole battery. This is very homogeneous and very efficient. Typical cell temperature spread in an equivalent water cooled battery pack is around 8 to 10°C.

From these results, we launch step 2 of the simulation process. WATTALPS’ battery module has been modeled in details with 3D CAD data and the resulting heating power from step 1 has been input in the CFD MAGMASOFT model to check flow sharing, heat exchanges and cell temperature spread inside the battery module. The flow sharing is shown in the following graphs:

The coolant temperature inside the battery module is illustrated in the following cross section and shows also a very good temperature homogeneity in the module:

During step 3, these results have been used to refine the MAGNA KULI model and compute more precisely the temperature spread of the cells inside each module and then across the whole battery pack. The results show a very homogeneous temperature with less than 1°C of temperature difference inside the whole battery pack! The cooling power of the air to fluid heat exchanger has been optimized to stabilize the max cell temperature at 40°C, enabling for continuous operation at this highly demanding power profile without overheating cells.

Conclusion
WATTALPS battery system enables extreme applications to be electrified and keep a long battery life by:
-
- Cooling the cells with an outstanding efficiency
- Keeping a very homogeneous temperature in the whole battery, preventing any performance loss due to a badly cooled cell in the pack.
Even with extreme power requirements, the battery pack can be cooled with a simple air to fluid heat exchanger.
This TechLetter has been written with the help of MAGMASOFT and MAGNA KULI teams and was presented at ECS conference in May 2023. WATTALPS wants to thank them for their kind contributions.