A better sustainability for lithium-ion batteries
Numerous scientific studies have been published on this topic. For the vast majority, the sustainability of lithium-ion batteries is way better than that of internal combustion engines (diesel and gasoline). Let us start with a study from the International Energy Agency. The sustainability of each solution is measured by the equivalent CO2 emissions on the whole life cycle of the product (manufacturing, usage, end of life). Hence, it represents global comparable emissions for any type of vehicle. The figure below illustrates that only in China today, the diesel engine can emit less than battery electric vehicles. Nevertheless, this results become completely different with time. China indeed produces its electricity mainly from coal today but is changing to greener power plants.

IEA study on the global environmental impact of batteries for electric vehicles
The full study can be found here: https://www.iea.org/publications/freepublications/publication/GlobalEVOutlook2017.pdf
A longer life leads to a better sustainability
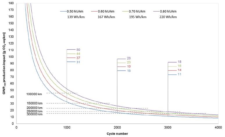
Another study has been conducted by the Trondheim University of Science and Technology (Norway – first european petrol producer). As soon as the battery life enables to drive 100,000 km, the equivalent emissions of the vehicle drop down to 50 gCO2/km. This value is already way better than any classical vehicle, without taking into account the emissions linked to the manufacturing of the vehicle and of the gasoline (or diesel). Let’s note here that 100,000 km is approximately 2,000 hours of driving, corresponding to 1 to 2 year of usage for an off-road vehicle.

Trondheim University study on the global warming potential of batterie versus their cycle life.
Analysis of the GWP (Global Warning Potential) for an electric vehicle vs life and for different energy consumption assumptions (Source : Trondheim University of Science and Technology).
The GWP is not the single criteria to evaluate environmental impact of batteries. The Swiss laboratory EMPA has conducted a study on the whole life cycle of the vehicle, looking at:
- Greenhouse gas effect (GWP),
- Natural resources consumption (ADP),
- Non renewable energy consumption (CED)
- And a global indicator (EI 99 H/A).

EMPA study on the global environmental impact of batteries
Study conducted by Dominic A. Notter, from the swiss EMPA laboratory (published in Environmental Science & Technology / vol. 44, nb. 17, 2010 (pages 6550-6556)).
Batteries to limit the risks due to air pollution
Besides, electric vehicles do not produce any local polluting emission (NOx, Particule Matter, CO…). According to the World Health Organisation, air pollution is responsible for more than 7 Million deaths per year in the world (https://www.who.int/mediacentre/news/releases/2014/air-pollution/en/).
Battery reuse and recyling, existing solutions today
Finally and as illustrated by the University of Trondheim, the environmental impact of batteries is highly linked to their life. It is therefore important to use the battery in an optimal way in its first application. This will permit to reuse it efficiently in a less demanding application afterwards. Lithium-ion batteries being 2 to 4 times more performing than lead-acid batteries, they can advantageously replace the latter in a second stage of their life.
Once these successive lifes realized and when the battery cannot store energy anymore, it can be dismanteled and recycled. Recycling of lithium-ion batteries is getting more and more efficient and structured. For example, in France the SNAM (https://www.snam.com/) corporation and in Belgium UMICORE (https://csm.umicore.com/en/recycling/battery-recycling/our-recycling-process) are recycling lithium-ion batteries. UMICORE has the particularity of being a raw material supplier for battery manufacturers. Therefore, they can directly reuse the recycled material from old batteries into their production process for material for new batteries (see below illustration).

UMICORE lithium-ion battery recycling process
Source : UMICORE.
Globaly, batteries are more sustainable than classical engins (gasoline or diesel). WATTALPS batteries are specially designed to maximize their life (more than 3,000 cycles), to be reused in a second application (modularity) and simplify the recycling process.